Номер 932 - ГДЗ Алгебра 8 класс. Мерзляк, Полонский. Учебник. Страница 227

Вернуться к содержанию учебника

Упражнения для повторения курса алгебры 8 класса. Страница 227

929 930 931 932 933 934 935

Вопрос

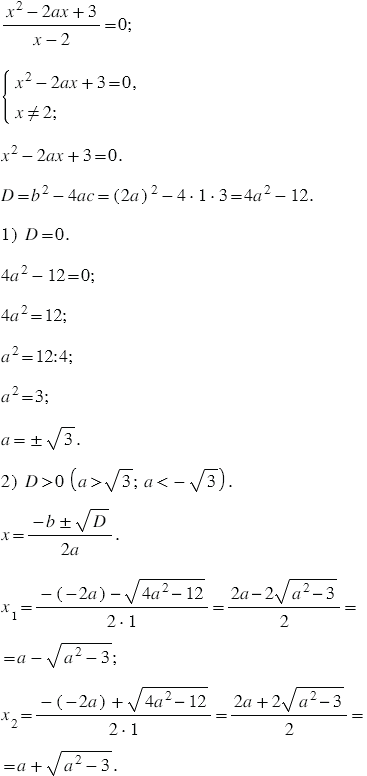
При каких значениях уравнение имеет единственный корень?

Подсказка

Вспомните:

  1. Рациональные дроби.
  2. Основное свойство рациональных дробей.
  3. Что такое уравнение.
  4. Что называют корнем уравнения.
  5. Какое уравнение называют квадратным.
  6. Что называют дискриминантом квадратного уравнения.
  7. Формула корней квадратного уравнения.
  8. Уравнения, сводящиеся к квадратным уравнениям.
  9. Что такое квадратный корень.
  10. Что называют арифметическим квадратным корнем числа.
  11. Сложение, вычитание, умножение и деление рациональных чисел.

Ответ


Вернуться к содержанию учебника