Вернуться к содержанию учебника
Выберите год учебника
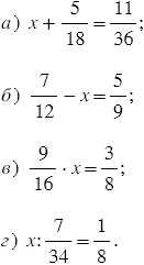
№1.108 учебника 2023-2026 (стр. 29):
Решите уравнение:

№1.108 учебника 2021-2022 (стр. 25):
При хранении на складе морковь теряет за месяц в среднем 0,7% своей массы. На склад поступило 6,3 т моркови. На сколько килограммов уменьшится масса моркови на складе через месяц хранения?
№1.108 учебника 2023-2026 (стр. 29):
Вспомните:
№1.108 учебника 2021-2022 (стр. 25):
Вспомните:
№1.108 учебника 2023-2026 (стр. 29):


Пояснения:
Уравнение - это равенство, содержащее букву, значение которой надо найти. Корень уравнения - это число, которое при подстановке вместо буквы обращает уравнение в верное числовое равенство. Решить уравнение - значит найти все его корни или показать, что их нет вообще.
Для решения уравнений используют правило нахождения неизвестного:
1) слагаемого: чтобы найти неизвестное слагаемое, надо из суммы вычесть известное слагаемое.
2) вычитаемого: чтобы найти неизвестное вычитаемое, надо из уменьшаемого вычесть разность.
3) множителя: чтобы найти неизвестный множитель, надо произведение разделить на известный множитель.
4) делимого: чтобы найти неизвестное делимое, надо частное умножить на делитель.
№1.108 учебника 2021-2022 (стр. 25):
0,7% = 0,007
6,3 • 0,007 = 0,0441 (т) = 44,1 (кг)
| × | 6 | 3 | ||
| 0 | 0 | 0 | 7 | |
| 0 | 0 | 4 | 4 | 1 |
Ответ: на 44,1 кг уменьшится масса моркови.
Пояснения:
Чтобы найти несколько процентов от числа, можно преобразовать проценты в десятичную дробь и умножить число на эту десятичную дробь.
Чтобы представить проценты в виде десятичной дроби, нужно число, стоящее перед знаком %, разделить на 100.
При вычислениях учитываем то, что
1 т = 1000 кг.
Вернуться к содержанию учебника