Вернуться к содержанию учебника
Выберите год учебника
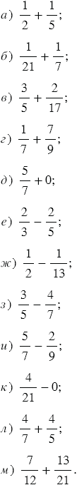
№2.166 учебника 2023-2026 (стр. 67):
Представьте десятичную дробь в виде обыкновенной и вычислите:

№2.166 учебника 2021-2022 (стр. 60):
Вычислите:

№2.166 учебника 2023-2026 (стр. 67):
Вспомните:
№2.166 учебника 2021-2022 (стр. 60):
Вспомните:
№2.166 учебника 2023-2026 (стр. 67):

Для того чтобы представить десятичную дробь в виде обыкновенной, нужно в числитель дроби записать число, стоящие после запятой, а в знаменатель 1 и столько нулей, сколько знаков после запятой.
Чтобы сравнить (сложить, вычесть) дроби с разными знаменателями, надо:
1) привести дроби к наименьшему общему знаменателю;
2) сравнить (сложить, вычесть) полученные дроби.
Наименьший общий знаменатель равен наименьшему общему кратному знаменателей данных дробей.
Наименьшим общим кратным (НОК) нескольких натуральных чисел называют наименьшее натуральное число, которое делится на каждое из этих чисел.
Сокращение дроби - это деление числителя и знаменателя данной дроби на их общий делитель, отличный от 1.
№2.166 учебника 2021-2022 (стр. 60):

Чтобы сравнить (сложить, вычесть) дроби с разными знаменателями, надо:
1) привести дроби к наименьшему общему знаменателю;
2) сравнить (сложить, вычесть) полученные дроби.
Наименьший общий знаменатель равен наименьшему общему кратному знаменателей данных дробей.
Наименьшим общим кратным (НОК) нескольких натуральных чисел называют наименьшее натуральное число, которое делится на каждое из этих чисел.
Вернуться к содержанию учебника