Вернуться к содержанию учебника
Выберите год учебника
№2.203 учебника 2023-2026 (стр. 70):
Запишите смешанные числа так, чтобы их дробная часть не была неправильной дробью:

№2.203 учебника 2021-2022 (стр. 63):
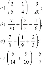
Вычислите:

№2.203 учебника 2023-2026 (стр. 70):
Вспомните смешанные числа.
№2.203 учебника 2021-2022 (стр. 63):
Вспомните:
№2.203 учебника 2023-2026 (стр. 70):

Чтобы неправильную дробь, числитель которой нацело не делится на знаменатель, преобразовать в смешанное число, надо числитель разделить на знаменатель; полученное неполное частное записать как целую часть смешанного числа, а остаток - как числитель его дробной части.
Чтобы дробь, числитель которой делится нацело на знаменатель, преобразовать в натуральное число, надо числитель разделить на знаменатель.
№2.203 учебника 2021-2022 (стр. 63):

Чтобы сравнить (сложить, вычесть) дроби с разными знаменателями, надо:
1) привести дроби к наименьшему общему знаменателю;
2) сравнить (сложить, вычесть) полученные дроби.
Наименьший общий знаменатель равен наименьшему общему кратному знаменателей данных дробей.
Наименьшим общим кратным (НОК) нескольких натуральных чисел называют наименьшее натуральное число, которое делится на каждое из этих чисел.
Сокращение дроби - это деление числителя и знаменателя данной дроби на их общий делитель, отличный от 1.
Порядок выполнения действий:
Сложение и вычитание чисел называют действиями первой ступени, а умножение и деление чисел - действиями второй ступени. Тогда правила, по которым мы определяем порядок выполнения действий, будут звучать так:
1) Если в выражении нет скобок и оно содержит действия только одной ступени, то действия выполняют по порядку слева направо.
2) если в выражении нет скобок и оно содержит действия первой и второй ступени, то сначала выполняют действия второй ступени по порядку слева направо, а потом действия первой ступени, также по прядку слева направо.
3) если в выражении есть скобки, то сначала выполняют действия в скобках, учитывая при этом правила 1 и 2.
Вернуться к содержанию учебника