Вернуться к содержанию учебника
Выберите год учебника
№2.216 учебника 2023-2026 (стр. 74):
Котлован под фундамент нового здания первый экскаватор может выкопать за 8 дней, второй - за 12 дней, а третий - за 15 дней. Какую часть котлована останется выкопать после того, как первый экскаватор отработает 3 дня, второй - 5 дней, а третий - 2 дня?
№2.216 учебника 2021-2022 (стр. 68):
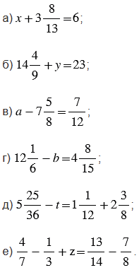
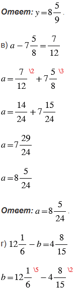
Найдите корень уравнения:

№2.216 учебника 2023-2026 (стр. 74):
Вспомните:
№2.216 учебника 2021-2022 (стр. 68):
Вспомните:
№2.216 учебника 2023-2026 (стр. 74):



№2.216 учебника 2021-2022 (стр. 68):




Пояснения:
Равенство, содержащее неизвестное число, обозначенное буквой называют уравнением.
Корнем уравнения называют значение буквы, при котором уравнение становится верным числовым равенством.
Решить уравнение - значит найти все его корни (или убедиться, что это уравнение не имеет корня).
Чтобы найти неизвестное слагаемое, нужно из суммы вычесть известное слагаемое.
Чтобы найти неизвестное вычитаемое, нужно из уменьшаемого вычесть разность.
Чтобы найти неизвестное уменьшаемое, нужно к разности прибавить вычитаемое.
Чтобы найти сумму смешанных чисел, надо:
1) дробные части этих чисел привести к наименьшему общему знаменателю;
2) отдельно выполнить сложение целых и отдельно дробных частей;
3) при необходимости сократить дробь (разделить числитель и знаменатель дроби на их наибольший общий делитель), выделить целую часть (когда числитель больше знаменателя) и прибавить ее к полученной целой части.
Чтобы найти разность смешанных чисел, надо:
1) дробные части этих чисел привести к наименьшему общему знаменателю;
2) если дробная часть уменьшаемого больше дробной части вычитаемого, то надо отдельно вычесть целые и отдельно дробные части и результаты сложить;
3) если дробная часть уменьшаемого меньше дробной части вычитаемого, то надо превратить ее в неправильную дробь, уменьшив на единицу целую часть, и выполнить вычитание по пункту 2;
4) при необходимости сократить дробь (разделить числитель и знаменатель дроби на их наибольший общий делитель).
Вернуться к содержанию учебника