Задание 2.247 - ГДЗ Математика 6 класс. Виленкин, Жохов. Учебник часть 1

Старая и новая редакции

Вернуться к содержанию учебника

2.244 2.245 2.246 2.247 2.248 2.249 2.250

Вопрос

Выберите год учебника

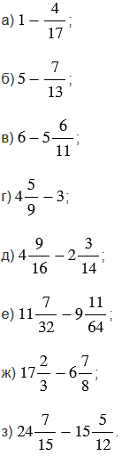
№2.247 учебника 2023-2024 (стр. 77):

Найдите разность:


№2.247 учебника 2021-2022 (стр. 71):

На филателистической выставке 27 частей марок было посвящено знаменательным событиям, 9 частей - природе и 1 часть - редкие марки. Сколько всего марок было на выставке, если марок, посвященных природе, было на 680 больше, чем редких?

Подсказка

№2.247 учебника 2023-2024 (стр. 77):

Вспомните:

  1. Вычитание смешанных чисел.
  2. Вычитание дробей с разными знаменателями.
  3. Приведение дробей к общему знаменателю.
  4. Наименьшее общее кратное.
  5. Вычитание дробей с одинаковыми знаменателями.
  6. Основное свойство дроби.
  7. Неправильные дроби.

№2.247 учебника 2021-2022 (стр. 71):

Вспомните:

  1. Оформление задач.
  2. Сложение чисел.
  3. Вычитание чисел.
  4. Деление чисел.
  5. Умножение чисел.

Ответ

№2.247 учебника 2023-2024 (стр. 77):


№2.247 учебника 2021-2022 (стр. 71):

1) 9 - 1 = 8 (частей) - на столько марок о природе больше, чем редких марок.

2) 680 : 8 = 85 (м.) - приходится на одну часть.

- 6 8 0     8                
6 4       8 5              
  - 4 0                      
  4 0                      
      0                      

3) 27 + 9 + 1 = 37 (частей) - всего.

4) 85 • 37 = 3145 (м.)

  ×   8 5
    3 7
+   5 9 5
2 5 5  
  3 1 4 5

Ответ: 3145 марок было на выставке.


Пояснения:

По условию задачи составляем краткую запись:

Из всех марок 9 частей было посвящено природе и 1 часть - редкие марки, значит, марок о природе было на 8 частей больше, так как 9 - 1 = 8. При этом марок, посвященных природе, было на 680 больше, чем редких, значит, на одну часть приходится:

680 : 8 = 85 (марок).

На филателистической выставке 27 частей марок было посвящено знаменательным событиям, 9 частей - природе и 1 часть - редкие марки. Значит, все марки составляют:

27 + 9 + 1 = 37 (частей).

Итак, на выставке было 37 частей марок, при этом на одну часть приходится 85 марок, значит, всего на выставке было:

85 • 37 = 3145 (марок).


Вернуться к содержанию учебника