Вернуться к содержанию учебника
Выберите год учебника
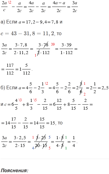
№2.517 учебника 2023-2026 (стр. 112):
Вычислите значение выражения
, если:

№2.517 учебника 2021-2022 (стр. 107):
При подготовке к олимпиаде Кирилл решил 25 задач , а потом ещё несколько. Их количество составило 20% от решённых ранее задач. Сколько всего задач собирался решить Кирилл, если решил
всех задач?
№2.517 учебника 2023-2026 (стр. 112):
Вспомните:
№2.517 учебника 2021-2022 (стр. 107):
Вернуться к содержанию учебника