Вернуться к содержанию учебника
№3.58 учебника 2023-2026 (стр. 129):
№3.58 учебника 2021-2022 (стр. 129):
Найдите неизвестный член пропорции:

№3.58 учебника 2023-2026 (стр. 129):
№3.58 учебника 2021-2022 (стр. 129):
Вспомните:
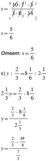
№3.58 учебника 2023-2026 (стр. 129):
№3.58 учебника 2021-2022 (стр. 129):





Пояснения:
Пропорция - это равенство двух отношений.
В пропорции
числа
и
называют крайними членами, а числа
и
- средними членами пропорции.
Чтобы найти неизвестный член пропорции, используем основное свойство пропорции:
Произведение крайних членов пропорции равно произведению ее средних членов:
.
А затем находим неизвестный множитель по следующему правилу: чтобы найти неизвестный множитель, нужно произведение разделить на известный множитель.
Произведением двух дробей является дробь, числитель которой равен произведению числителей, а знаменатель - произведению знаменателей.
Чтобы выполнить умножение смешанных чисел, нужно записать эти числа в виде неправильных дробей, а затем воспользоваться правилом умножения дробей. Чтобы преобразовать смешанное число в неправильную дробь, надо целую часть числа умножить на знаменатель дробной части и к полученному произведению прибавить числитель дробной части; эту сумму записать как числитель неправильной дроби, а в ее знаменатель записать знаменатель дробной части смешанного числа.
Чтобы найти частное двух дробей, надо делимое умножить на число, обратное делителю. При этом помним, обратным числу
является число
.
При выполнении умножения дробей, чтобы вычисления были проще, не надо перемножать сразу, лучше сделать это после сокращения. Сократить дробь - значит, разделить ее числитель и знаменатель на одно и то же число (наибольший общий делитель).
Если при вычислениях получилась неправильная дробь (числитель больше знаменателя), ее нужно преобразовать в смешанное число. Чтобы неправильную дробь, числитель которой нацело не делится на знаменатель, преобразовать в смешанное число, надо числитель разделить на знаменатель; полученное неполное частное записать как целую часть смешанного числа, а остаток - как числитель его дробной части. Либо, разделив числитель неправильной дроби на ее знаменатель, получаем десятичную дробь или натуральное число.
Вернуться к содержанию учебника