Вернуться к содержанию учебника
№1.188 учебника 2023-2026 (стр. 41):
Составьте множество, элементами которого являются:
а) океаны;
б) материки;
в) континенты;
г) моря, омывающие российские берега;
д) все правильные дроби со знаменателем 12;
е) неправильные дроби с числителем 10.
№1.188 учебника 2023-2026 (стр. 41):
Вспомните:
№1.188 учебника 2023-2026 (стр. 41):
а) Множество океанов:
{Атлантический; Индийский; Тихий; Южный; Северный Ледовитый}.
б) Множество материков:
{Евразия, Африка, Северная Америка, Южная Америка, Антарктида и Австралия}.
в) Множество континентов:
{Евразия, Африка, Северная Америка, Южная Америка, Антарктида и Австралия}.
г) Множество морей, омывающих российские берега:
{Балтийское; Белое; Черное; Азовское; Баренцево; Карское; Лаптевых; Восточно-Сибирское; Чукотское; Берингово; Охотское; Японское; Каспийское море-озеро}.
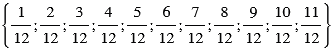
д) Множество всех правильных дробей со знаменателем 12:

е) Множество неправильных дробей с числителем 10:

Пояснения:
Словом "множество" в математическом языке обозначают любую совокупность объектов или предметов, объединенных каким-либо общим признаком.
Для записи множества с помощью перечисления элементов используют фигурные скобки.
Правильные дроби - это дроби, у которых числитель меньше знаменателя.
Неправильные дроби - это дроби, у которых числитель больше или равен знаменателю.
Вернуться к содержанию учебника