Вернуться к содержанию учебника
Выберите год учебника
№2.182 учебника 2023-2026 (стр. 68):
Первый мастер может выполнить заказ по пошиву карнавальных костюмов за 14 ч, а второй - за 18 ч. Какую часть заказа выполнят оба мастера, если первый будет работать 5 ч, а второй - 7 ч?
№2.182 учебника 2021-2022 (стр. 61):
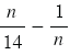
Вычислите значение выражения
при
=3;
=6;
=7.
№2.182 учебника 2023-2026 (стр. 68):
Вспомните:
№2.182 учебника 2021-2022 (стр. 61):
Вспомните:
№2.182 учебника 2023-2026 (стр. 68):

Чтобы сравнить (сложить, вычесть) дроби с разными знаменателями, надо:
1) привести дроби к наименьшему общему знаменателю;
2) сравнить (сложить, вычесть) полученные дроби.
Наименьший общий знаменатель равен наименьшему общему кратному знаменателей данных дробей.
Наименьшим общим кратным (НОК) нескольких натуральных чисел называют наименьшее натуральное число, которое делится на каждое из этих чисел.
№2.182 учебника 2021-2022 (стр. 61):

Чтобы найти значение буквенного выражения при данном значении переменной, надо в данное выражение вместо переменной подставить это значение в выражение и выполнить вычисления.
Чтобы сравнить (сложить, вычесть) дроби с разными знаменателями, надо:
1) привести дроби к наименьшему общему знаменателю;
2) сравнить (сложить, вычесть) полученные дроби.
Наименьший общий знаменатель равен наименьшему общему кратному знаменателей данных дробей.
Наименьшим общим кратным (НОК) нескольких натуральных чисел называют наименьшее натуральное число, которое делится на каждое из этих чисел.
Вернуться к содержанию учебника