Вернуться к содержанию учебника
Выберите год учебника
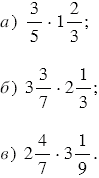
№2.343 учебника 2023-2026 (стр. 90):
Найдите значение произведения:

№2.343 учебника 2021-2022 (стр. 85):
Ежегодно предприятие индексирует оклад сотрудников на 3%. Какой будет оклад через год; два года работы сотрудника с окладом 48 000 р.?
№2.343 учебника 2023-2026 (стр. 90):
Вспомните:
№2.343 учебника 2021-2022 (стр. 85):
Вспомните:
№2.343 учебника 2023-2026 (стр. 90):

Пояснения:
Произведением двух дробей является дробь, числитель которой равен произведению числителей, а знаменатель - произведению знаменателей.
Чтобы выполнить умножение смешанных чисел, нужно записать эти числа в виде неправильных дробей, а затем воспользоваться правилом умножения дробей.
Чтобы преобразовать смешанное число в неправильную дробь, надо целую часть числа умножить на знаменатель дробной части и к полученному произведению прибавить числитель дробной части; эту сумму записать как числитель неправильной дроби, а в ее знаменатель записать знаменатель дробной части смешанного числа.
Чтобы вычисления были проще, не надо перемножать сразу, лучше сделать это после сокращения.
Сократить дробь - значит, разделить ее числитель и знаменатель на одно и то же число (наибольший общий делитель).
Также помним, дробь, у которой в знаменателе стоит единица равна своему числителю.
№2.343 учебника 2021-2022 (стр. 85):
3% = 0,03
1) 48 000 • 0,03 = 1440 (р.) - на столько повысится оклад через год.
| × | 4 | 8 | 0 | 0 | 0 | |
| 0 | 0 | 3 | ||||
| 1 | 4 | 4 | 0 | 0 | 0 |
2) 48 000 + 1 440 = 49 440 (р.) - размер оклада через год.
3) 49 440 • 0,03 = 1483,2 (р.) - на столько повысится оклад еще через год.
| × | 4 | 9 | 4 | 4 | 0 |
| 0 | 0 | 3 | |||
| 1 | 4 | 8 | 3 | 2 | 0 |
4) 49 440 + 1483,2 = 50 923,2 (р.) - размер оклада через два года.
| + | 4 | 9 | 4 | 4 | 0 | , | 0 |
| 1 | 4 | 8 | 3 | , | 2 | ||
| 5 | 0 | 9 | 2 | 3 | , | 2 |
Ответ: 49 440 р.; 50 923,2 р.
Пояснения:
Чтобы найти несколько процентов от числа, нужно сначала перевести проценты в десятичную дробь, а затем умножить число на полученную десятичную дробь. Чтобы проценты записать в виде десятичной дроби, нужно число стоящее перед знаком % разделить на 100.
Оклад сотрудника 48 000 р. Ежегодно предприятие индексирует оклад сотрудников на 3%.
3% = 3 : 100 = 0,03.
Значит, через год оклад сотрудника повысится на:
48 000 • 0,03 = 1440 (р.).
Итак, оклад сотрудника был 48 000 р., его повысили на 1440 р., значит, через год оклад сотрудника будет составлять:
48 000 + 1 440 = 49 440 (р.).
Теперь оклад сотрудника 49 440 р., через год он вырастет на 3%, значит, еще через год оклад сотрудника вырастет на:
49 440 • 0,03 = 1483,2 (р.).
Итак, через год оклад сотрудника стал равен 49 440 р., еще за год он вырос на 1483,2 р., значит, через два года оклад сотрудника будет составлять:
49 440 + 1483,2 = 50 923,2 (р.).
Вычисления осуществляли по следующим правилам:
1) чтобы умножить десятичную дробь на натуральное число, надо: умножить их как натуральные числа, не обращая внимание на запятую и в полученном произведении отделить запятой справа столько цифр, сколько их стоит после запятой у умножаемой дроби;
2) чтобы сложить или вычесть десятичные дроби, нужно записать числа столбиком так, чтобы запятая стояла под запятой. Затем выполнить действие не обращая внимание на запятую, а в ответе поставить запятую под запятой.
Вернуться к содержанию учебника