Вернуться к содержанию учебника
Проверьте себя. Страница 135
№Проверочная работа №2 учебника 2023-2026 (стр. 135):
Рассмотрите таблицу и ответьте на вопросы.
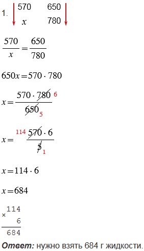
1. Сколько нужно взять жидкости, чтобы получить 780 г рисовой жидкой каши?
2. Сколько нужно взять соли для приготовления 240 г вязкой овсяной каши?
3. Сколько нужно взять жидкости и соли для приготовления 500 г жидкой манной каши?
4. Приготовили 455 г жидкой овсяной каши. Сколько жидкости и соли потребовалось?

№Проверочная работа №2 учебника 2023-2026 (стр. 135):
Вспомните:
№Проверочная работа №2 учебника 2023-2026 (стр. 135):






Вернуться к содержанию учебника