Задание 3.183 - ГДЗ Математика 6 класс. Виленкин, Жохов. Учебник часть 1. Страница 152

Старая и новая редакции

Вернуться к содержанию учебника

3.180 3.181 3.182 3.183 3.184 3.185 3.186

Вопрос

№3.183 учебника 2023-2026 (стр. 152):

№3.183 учебника 2021-2022 (стр. 152):

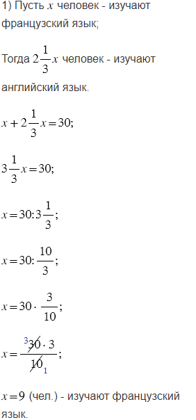
1) В классе 30 человек. Из них английский язык изучают в раза больше учащихся, чем французский. Сколько человек изучают английский язык и сколько - французский?

2) В секции дзюдо занимается 44 человека. Из них девочек в раза меньше, чем мальчиков. Сколько девочек и сколько мальчиков занимается в секции?

Подсказка

№3.183 учебника 2023-2026 (стр. 152):

№3.183 учебника 2021-2022 (стр. 152):

Вспомните:

  1. Что называют уравнением.
  2. Что такое корень уравнения.
  3. Сложение смешанных чисел.
  4. Деление и умножение обыкновенных дробей.
  5. Основное свойство дроби.

Ответ

№3.183 учебника 2023-2026 (стр. 152):

№3.183 учебника 2021-2022 (стр. 152):


Вернуться к содержанию учебника