Вернуться к содержанию учебника
Выберите год учебника
№3.180 учебника 2023-2026 (стр. 152):
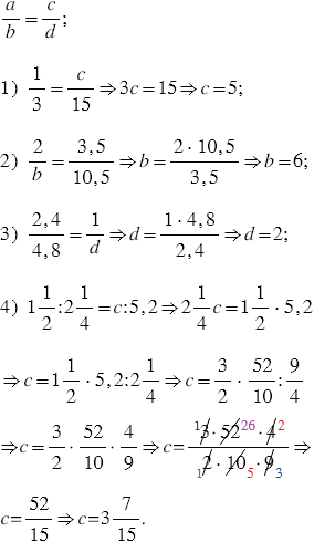
Заполните таблицу, если известно, что
.

№3.180 учебника 2021-2022 (стр. 152):
Заполните таблицу, чтобы пропорция
была верной.

№3.180 учебника 2023-2026 (стр. 152):
№3.180 учебника 2021-2022 (стр. 152):
Вспомните:
Вернуться к содержанию учебника