Задание 5.288 - ГДЗ Математика 5 класс. Виленкин, Жохов. Учебник часть 2. Страница 50

Старая и новая редакции

Вернуться к содержанию учебника

5.285 5.286 5.287 5.288 5.289 5.290 5.291

Вопрос

№5.288 учебника 2023-2024 (стр. 50):

№5.288 учебника 2021-2022 (стр. 50):

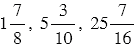
На координатном луче отмечены числа и Между какими натуральными числами они расположены?

Подсказка

№5.288 учебника 2023-2024 (стр. 50):

№5.288 учебника 2021-2022 (стр. 50):

Вспомните смешанные числа.

Ответ

№5.288 учебника 2023-2024 (стр. 50):

№5.288 учебника 2021-2022 (стр. 50):


Вернуться к содержанию учебника