Вернуться к содержанию учебника
№5.332 учебника 2023-2026 (стр. 58):
№5.332 учебника 2021-2022 (стр. 58):
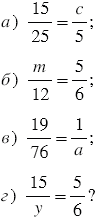
Какое натуральное число надо записать вместо буквы, чтобы было верным равенство:

№5.332 учебника 2023-2026 (стр. 58):
№5.332 учебника 2021-2022 (стр. 58):
Вспомните:
Вернуться к содержанию учебника