Вернуться к содержанию учебника
№5.333 учебника 2023-2026 (стр. 58):
№5.333 учебника 2021-2022 (стр. 58):
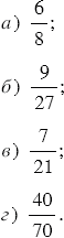
Назовите наибольший общий делитель числителя и знаменателя дроби:

№5.333 учебника 2023-2026 (стр. 58):
№5.333 учебника 2021-2022 (стр. 58):
Вспомните:
№5.333 учебника 2023-2026 (стр. 58):
№5.333 учебника 2021-2022 (стр. 58):
а) Наибольший общий делитель чисел 6 и 8 равен 2.
б) Наибольший общий делитель чисел 9 и 27 равен 9.
в) Наибольший общий делитель чисел 7 и 21 равен 7.
г) Наибольший общий делитель чисел 40 и 70 равен 10.
Пояснения:
Делителем натурального числа n называют натуральное число, на которое n делится без остатка. Общий делитель чисел - это натуральное число, на которое делятся эти числа.
Вернуться к содержанию учебника