Задание 5.484 - ГДЗ Математика 5 класс. Виленкин, Жохов. Учебник часть 2. Страница 78

Старая и новая редакции

Вернуться к содержанию учебника

5.481 5.482 5.483 5.484 5.485 5.486 5.487

Вопрос

№5.484 учебника 2023-2026 (стр. 78):

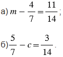
Решите уравнение:

Подсказка

№5.484 учебника 2023-2026 (стр. 78):

Вспомните:

  1. Что называют уравнением, его корни.
  2. Сложение и вычитание дробей с разными знаменателями.
  3. Приведение дробей к общему знаменателю.
  4. Основное свойство дроби (сокращение дробей).
  5. Сложение и вычитание дробей с одинаковыми знаменателями.
  6. Неправильные дроби.
  7. Деление и дроби.
  8. Деление с остатком.
  9. Смешанные числа.

Ответ

№5.484 учебника 2023-2026 (стр. 78):


Вернуться к содержанию учебника