Вернуться к содержанию учебника
№5.499 учебника 2023-2026 (стр. 80):
Для выставки антикварного фарфора на реставрацию отправили 3 экспоната. Реставрация первого экспоната заняла 21 день, второго -
времени, затраченного на реставрацию первого, а реставрация третьего экспоната заняла на 6 дней меньше, чем реставрация второго. На сколько дней меньше заняла реставрация третьего экспоната по сравнению с реставрацией первого?
№5.499 учебника 2023-2026 (стр. 80):
Вспомните:
№5.499 учебника 2023-2026 (стр. 80):

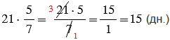
1)
- реставрация второго экспоната.
2) 15 - 6 = 9 (дн.) - реставрация третьего экспоната.
3) 21 - 9 = 12 (дн.)
Ответ: на 12 дней меньше заняла реставрация третьего экспоната по сравнению с реставрацией первого.
Пояснения:
По условию задачи составляем краткую запись:

Чтобы найти от числа дробь, выраженную дробью, нужно умножить число на эту дробь.
Реставрация первого экспоната заняла 21 день, второго -
времени, затраченного на реставрацию первого, значит, на реставрацию второго экспоната ушло:

Реставрация второго экспоната заняла 15 дней, а реставрация третьего экспоната заняла на 6 дней меньше, чем реставрация второго, значит, на реставрацию третьего экспоната ушло:
15 - 6 = 9 (дн.).
Чтобы узнать, на сколько одно число больше или меньше другого, нужно из большего числа вычесть меньшее.
Реставрация первого экспоната заняла 21 день, а третьего - 9 дней, значит, реставрация третьего экспоната заняла меньше времени по сравнению с реставрацией первого на:
21 - 9 = 12 (дн.).
Правила, по которым выполнены вычисления, смотрите в подсказке.
Вернуться к содержанию учебника