Вернуться к содержанию учебника
№6.102 учебника 2023-2026 (стр. 107):
№6.102 учебника 2021-2022 (стр. 91):
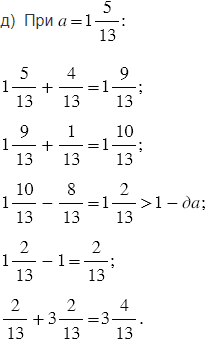
Найдите число по схеме алгоритма при
, равном:


№6.102 учебника 2023-2026 (стр. 107):
№6.102 учебника 2021-2022 (стр. 91):
№6.102 учебника 2023-2026 (стр. 107):
№6.102 учебника 2021-2022 (стр. 91):




Пояснения:
Чтобы найти сумму (разность) двух дробей с одинаковыми знаменателями, нужно сложить (вычесть) их числители, а знаменатель оставить прежним;
Чтобы выполнить сложение смешанных чисел, нужно отдельно выполнить сложение целых частей и отдельно дробных частей.
Чтобы выполнить вычитание смешанных чисел, нужно отдельно выполнить вычитание целых частей и отдельно дробных частей.
Вернуться к содержанию учебника