Задание 4.65 - ГДЗ Математика 6 класс. Виленкин, Жохов. Учебник часть 2. Страница 20

Старая и новая редакции

Вернуться к содержанию учебника

4.62 4.63 4.64 4.65 4.66 4.67 4.68

Вопрос

№4.65 учебника 2023-2024 (стр. 20):

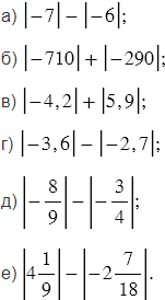
Вычислите:

Подсказка

Ответ

№4.65 учебника 2023-2024 (стр. 20):


Вернуться к содержанию учебника