Вернуться к содержанию учебника
Проверьте себя
Проверочная работа
1. Выберите вариант правильного ответа. Чтобы сложить два отрицательных числа, надо:
а) сложить их модули и перед полученным числом поставить знак "+";
б) сложить их модули и перед полученным числом поставить знак "-".
2. Чему равна сумма чисел:
а) -7,3 и -7;
б)
и -1;
в) -350,6 и -150,4?
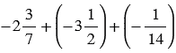
3. Найдите значение выражения
.
4. а) Может ли сумма двух чисел быть меньше каждого из слагаемых? Если да, приведите пример.
б) Может ли сумма двух чисел быть меньше -100, если одно из слагаемых больше 100? Если да, приведите пример.
в) Запишите три отрицательных числа, сумма которых больше -1.
Вспомните:
Проверочная работа
1. Чтобы сложить два отрицательных числа, надо сложить их модули и перед полученным числом поставить знак "-".
Ответ: б).
2. а) -7,3 + (-7) = -(7,3 + 7) = 14,3;

в) -350,6 + (-150,4) = -(350,6 + 150,4) = -501
| + | 3 | 5 | 0 | , | 6 |
| 1 | 5 | 0 | , | 4 | |
| 5 | 0 | 1 | , | 0 |

4. а) Сумма двух чисел может быть меньше каждого из слагаемых.
Пример:
-3 + (-2) = -(3 + 2) = -5
-5 < -3 и -5 < -2.
б) Сумма двух чисел может быть меньше -100, если одно из слагаемых больше 100.
Пример:
-320 + 120 = -(320 - 120) = -200 < -100.
в) -0,2 + (-0,3) + (-0,1) =
= -(0,2 + 0,3 + 0,1) =
= -(0,5 + 0,1) = -0,6 > -1
Вернуться к содержанию учебника