Вернуться к содержанию учебника
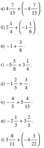
№4.209 учебника 2023-2026 (стр. 43):
Выполните сложение:

№4.209 учебника 2023-2026 (стр. 43):
Вспомните:
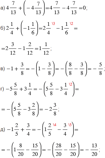
№4.209 учебника 2023-2026 (стр. 43):


Пояснения:
Чтобы сложить два числа с разными знаками, надо: найти модули слагаемых; из большего модуля вычесть меньший модуль; перед полученным числом поставить знак слагаемого с большим модулем.
Модуль числа принимает только неотрицательные значения. Модуль отрицательного числа равен противоположному числу (противоположные числа отличаются только знаками).
Из двух смешанных чисел с разными целыми частями больше то смешанное число, у которого целая часть больше.
Вернуться к содержанию учебника