Вернуться к содержанию учебника
№4.235 учебника 2023-2026 (стр. 47):
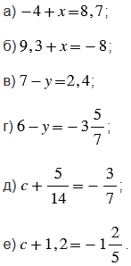
Найдите корень уравнения и выполните проверку:

№4.235 учебника 2023-2026 (стр. 47):
Вспомните:
№4.235 учебника 2023-2026 (стр. 47):





Пояснения:
Уравнение - это равенство, содержащее букву, значение которой надо найти. Корень уравнения - это число, которое при подстановке вместо буквы обращает уравнение в верное числовое равенство. Решить уравнение - значит найти все его корни или показать, что их нет вообще.
При решении уравнений помним:
1) чтобы найти неизвестное слагаемое, надо из суммы вычесть известное слагаемое;
2) чтобы найти неизвестное вычитаемое, надо из уменьшаемого вычесть разность.
Чтобы из данного числа вычесть другое, надо к уменьшаемому прибавить число, противоположное вычитаемому. Противоположные числа отличаются только знаками.
Чтобы сложить два числа с разными знаками, надо: найти модули слагаемых (модуль числа принимает только неотрицательные значения); из большего модуля вычесть меньший модуль; перед полученным числом поставить знак слагаемого с большим модулем (обычно сначала определяют и записывают знак суммы, а потом в скобках находят разность модулей, если сумма в итоге получается положительной, то скобки можно не ставить).
Чтобы сложить два отрицательных числа, надо: найти модули слагаемых (модуль числа принимает только неотрицательные значения); сложить модули слагаемых; перед полученным числом поставить знак " - " (обычно знак минус выносят за скобки и в скобках находят сумму модулей).
Вернуться к содержанию учебника