Вернуться к содержанию учебника
№4.244 учебника 2023-2026 (стр. 48):
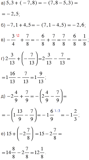
Выполните действие сложения:

№4.244 учебника 2023-2026 (стр. 48):
Вспомните:
№4.244 учебника 2023-2026 (стр. 48):

Пояснения:
Чтобы сложить два числа с разными знаками, надо: найти модули слагаемых (модуль числа принимает только неотрицательные значения); из большего модуля вычесть меньший модуль; перед полученным числом поставить знак слагаемого с большим модулем (обычно сначала определяют и записывают знак суммы, а потом в скобках находят разность модулей, если сумма в итоге получается положительной, то скобки можно не ставить).
Вернуться к содержанию учебника