Вернуться к содержанию учебника
№4.284 учебника 2023-2026 (стр. 54):
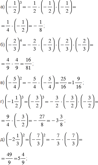
Вычислите степень дробного числа:

№4.284 учебника 2023-2026 (стр. 54):
Вспомните:
№4.284 учебника 2023-2026 (стр. 54):


Пояснения:
Чтобы число возвести в степень, нужно умножить это число само на себя столько раз, какова его степень.
При выполнении вычислений помним:
1) чтобы перемножить два числа с разными знаками, надо умножить их модули и перед полученным произведением поставить знак " - ", то есть произведение двух чисел с разными знаками является отрицательным числом, получается при возведении отрицательного числа в нечетную степень результат будет отрицательным числом;
2) чтобы перемножить два отрицательных числа, надо перемножить их модули, то есть произведение двух отрицательных чисел является положительным числом, получается при возведении отрицательного числа в четную степень результат будет положительным числом.
Правила вычислений с обыкновенными дробями смотрите в подсказке.
Вернуться к содержанию учебника