Вернуться к содержанию учебника
№4.283 учебника 2023-2026 (стр. 54):
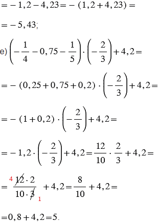
Выполните действия:

№4.283 учебника 2023-2026 (стр. 54):
Вспомните:
№4.283 учебника 2023-2026 (стр. 54):




Пояснения:
Порядок выполнения действий определяем по следующим правилам:
1) если в выражении нет скобок (скобки, которые определяют отрицательное число не учитываем) и оно содержит действия первой (сложение и вычитание) и второй (умножение и деление) ступени, то сначала выполняют действия второй ступени по порядку слева направо, а потом действия первой ступени, также по прядку слева направо;
2) если в выражении есть скобки (скобки, которые определяют отрицательное число не учитываем), то сначала выполняют действия в скобках, а затем за скобками, учитывая при этом правило 1.
При выполнении вычислений опираемся на следующие правила:
1) чтобы сложить два числа с разными знаками, надо: найти модули слагаемых; из большего модуля вычесть меньший модуль; перед полученным числом поставить знак слагаемого с большим модулем;
2) чтобы сложить два отрицательных числа, надо: найти модули слагаемых; сложить модули слагаемых; перед полученным числом поставить знак "-";
3) чтобы из данного числа вычесть другое, надо к уменьшаемому прибавить число, противоположное вычитаемому;
4) чтобы перемножить два числа с разными знаками, надо умножить их модули и перед полученным произведением поставить знак "-";
5) чтобы перемножить два отрицательных числа, надо перемножить их модули;
6) чтобы из натурального числа вычесть смешанное число, нужно натуральное число уменьшить на единицу и представить эту единицу в виде неправильной дроби, у которой числитель и знаменатель равны знаменателю дробной части вычитаемого, затем отдельно выполнить вычитание целых частей и отдельно дробных частей;
7) чтобы умножить обыкновенную дробь на натуральное число, нужно ее числитель умножить на это число, а знаменатель оставить без изменения;
8) произведением двух дробей является дробь, числитель которой равен произведению числителей, а знаменатель - произведению знаменателей;
9) чтобы выполнить умножение смешанных чисел, нужно записать эти числа в виде неправильных дробей, а затем воспользоваться правилом умножения дробей;
10) чтобы сложить или вычесть десятичные дроби, нужно записать числа столбиком так, чтобы запятая стояла под запятой. Затем выполнить действие не обращая внимание на запятую, а в ответе поставить запятую под запятой;
11) чтобы перемножить две десятичные дроби, надо: записать дроби в столбик, как два натуральных числа не обращая внимание на запятые; умножить их как натуральные числа, не обращая внимание на запятые; в полученном произведении отделить запятой справа столько цифр, сколько их стоит после запятых в обоих множителях вместе.
Чтобы преобразовать смешанное число в неправильную дробь, надо целую часть числа умножить на знаменатель дробной части и к полученному произведению прибавить числитель дробной части; эту сумму записать как числитель неправильной дроби, а в ее знаменатель записать знаменатель дробной части смешанного числа.
Вернуться к содержанию учебника