Задание 4.290 - ГДЗ Математика 6 класс. Виленкин, Жохов. Учебник часть 2. Страница 54

Старая и новая редакции

Вернуться к содержанию учебника

4.287 4.288 4.289 4.290 4.291 4.292 4.293

Вопрос

№4.290 учебника 2023-2026 (стр. 54):

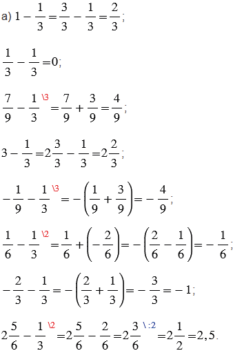
Вычислите:

Подсказка

№4.290 учебника 2023-2026 (стр. 54):

Ответ

№4.290 учебника 2023-2026 (стр. 54):


Пояснения:

Правила, по которым выполнены вычисления, смотрите в подсказке.


Вернуться к содержанию учебника