Вернуться к содержанию учебника
Проверьте себя
Проверочная работа
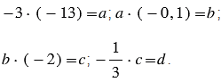
1. Найдите
, если выполняются четыре равенства:

2. Сравните с нулем значение выражения:
а) (-0,1)2;
б) -0,12;
в) (-3)3;
г) -(-3)3.
3. Какое число нужно умножить на -4, чтобы получить:
а) -12;
б) 56;
в) -1;
г) 0?
4. Вычислите значение выражения:
а) 3 • (-6) - 2 • (-4) + 3 • (-5);

Вспомните:



Пояснения:
При выполнении вычислений помним:
1) чтобы сложить два числа с разными знаками, надо: найти модули слагаемых; из большего модуля вычесть меньший модуль; перед полученным числом поставить знак слагаемого с большим модулем;
2) чтобы сложить два отрицательных числа, надо: найти модули слагаемых; сложить модули слагаемых; перед полученным числом поставить знак "-";
3) чтобы из данного числа вычесть другое, надо к уменьшаемому прибавить число, противоположное вычитаемому;
4) чтобы перемножить два числа с разными знаками, надо умножить их модули и перед полученным произведением поставить знак "-";
5) чтобы перемножить два отрицательных числа, надо перемножить их модули.
При сравнении чисел помним: любое отрицательное число меньше нуля, любое положительное число больше нуля.
Порядок выполнения действий в четвертом задании определяем по следующему правилу: если в выражении нет скобок (скобки, которые определяют отрицательное число не учитываем) и оно содержит действия первой (сложение и вычитание) и второй (умножение и деление) ступени, то сначала выполняют действия второй ступени по порядку слева направо, а потом действия первой ступени, также по прядку слева направо.
Вернуться к содержанию учебника