Вернуться к содержанию учебника
№4.318 учебника 2023-2026 (стр. 59):
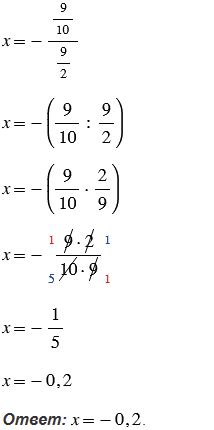
Найдите
из пропорции:

№4.318 учебника 2023-2026 (стр. 59):
Вспомните:
№4.318 учебника 2023-2026 (стр. 59):





Пояснения:
Чтобы найти неизвестный член пропорции используем то, что произведение крайних членов пропорции равно произведению ее средних членов, и получаем уравнение, в котором неизвестен множитель. Чтобы найти неизвестный множитель, нужно произведение разделить на известный множитель.
При выполнении вычислений опираемся на следующие правила:
1) чтобы найти частное двух чисел с разными знаками, надо разделить модуль делимого на модуль делителя и поставить перед полученным числом знак "-";
2) чтобы найти частное двух отрицательных чисел, надо разделить модуль делимого на модуль делителя;
3) чтобы перемножить два числа с разными знаками, надо умножить их модули и перед полученным произведением поставить знак "-";
4) чтобы перемножить два отрицательных числа, надо перемножить их модули;
5) чтобы разделить десятичную дробь на натуральное число, нужно: разделить дробь на это число, не обращая внимания на запятую; поставить в частном запятую, когда кончится деление целой части;
6) чтобы разделить одну дробь на другую, нужно делимое умножить на число, обратное делителю, т.е. у делителя нужно поменять местами числа, стоящие в числителе и знаменателе;
7) чтобы выполнить деление смешанных чисел, нужно записать эти числа в виде неправильных дробей, а затем воспользоваться правилом деления дробей. Чтобы преобразовать смешанное число в неправильную дробь, надо целую часть числа умножить на знаменатель дробной части и к полученному произведению прибавить числитель дробной части; эту сумму записать как числитель неправильной дроби, а в ее знаменатель записать знаменатель дробной части смешанного числа;
8) Произведением двух дробей является дробь, числитель которой равен произведению числителей, а знаменатель - произведению знаменателей.
Также, если возможно, при вычислениях выполняем сокращение.
Вернуться к содержанию учебника