Вернуться к содержанию учебника
№4.324 учебника 2023-2026 (стр. 59):
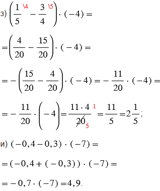
Выполните действия:

№4.324 учебника 2023-2026 (стр. 59):
Вспомните:
№4.324 учебника 2023-2026 (стр. 59):


Пояснения:
При выполнении вычислений опираемся на следующие правила:
1) чтобы перемножить два числа с разными знаками, надо умножить их модули и перед полученным произведением поставить знак "-";
2) чтобы перемножить два отрицательных числа, надо перемножить их модули;
3) чтобы из данного числа вычесть другое, надо к уменьшаемому прибавить число, противоположное вычитаемому;
4) чтобы сложить два числа с разными знаками, надо: найти модули слагаемых; из большего модуля вычесть меньший модуль; перед полученным числом поставить знак слагаемого с большим модулем;
5) чтобы сложить два отрицательных числа, надо: найти модули слагаемых; сложить модули слагаемых; перед полученным числом поставить знак "-";
6) чтобы перемножить две десятичные дроби, надо умножить их как натуральные числа, не обращая внимание на запятые; в полученном произведении отделить запятой справа столько цифр, сколько их стоит после запятых в обоих множителях вместе;
7) чтобы сложить или вычесть десятичные дроби, нужно записать числа столбиком так, чтобы запятая стояла под запятой. Затем выполнить действие не обращая внимание на запятую, а в ответе поставить запятую под запятой;
8) чтобы умножить обыкновенную дробь на натуральное число, нужно ее числитель умножить на это число, а знаменатель оставить без изменения;
9) произведением двух дробей является дробь, числитель которой равен произведению числителей, а знаменатель - произведению знаменателей;
10) чтобы выполнить умножение смешанных чисел, нужно записать эти числа в виде неправильных дробей, а затем воспользоваться правилом умножения дробей. Чтобы преобразовать смешанное число в неправильную дробь, надо целую часть числа умножить на знаменатель дробной части и к полученному произведению прибавить числитель дробной части; эту сумму записать как числитель неправильной дроби, а в ее знаменатель записать знаменатель дробной части смешанного числа;
11) чтобы выполнить вычитание двух дробей с разными знаменателями, надо: привести данные дроби к общему знаменателю; применить правило вычитания дробей с одинаковыми знаменателями, т.е. нужно из числителя уменьшаемого вычесть числитель вычитаемого, а знаменатель оставить прежним.
При сравнении модулей чисел опираемся на следующие правила:
1) чтобы сравнить две дроби с разными знаменателями, надо: привести данные дроби к общему знаменателю; применить правило сравнения дробей с одинаковыми знаменателями (больше будет та дробь, у которой числитель больше);
2) из двух десятичных дробей с одинаковыми целыми частями и равным количеством цифр после запятой больше будет та дробь, у которой больше первая (при чтении слева направо) из неодинаковых цифр их дробных частей.
Также при вычислениях с обыкновенными дробями, если возможно выполняем сокращение. И если при вычислениях получается неправильная дробь (числитель больше знаменателя), то преобразуем ее в смешанное число. Чтобы неправильную дробь, числитель которой нацело не делится на знаменатель, преобразовать в смешанное число, надо числитель разделить на знаменатель; полученное неполное частное записать как целую часть смешанного числа, а остаток - как числитель его дробной части.
Вернуться к содержанию учебника