Вернуться к содержанию учебника
№5.26 учебника 2023-2026 (стр. 80):
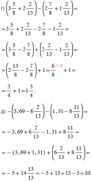
Раскройте скобки и вычислите:

№5.26 учебника 2023-2026 (стр. 80):
Вспомните:
№5.26 учебника 2023-2026 (стр. 80):



Пояснения:
Сначала в каждом выражении раскрываем скобки, при этом помним:
Затем применяем переместительное и сочетательное свойства сложения, то есть группируем слагаемые так, чтобы вычисления были проще.
Правила, по которым выполнены вычисления с дробями, смотрите в подсказке.
Вернуться к содержанию учебника