Задание 5.110 - ГДЗ Математика 6 класс. Виленкин, Жохов. Учебник часть 2. Страница 93

Старая и новая редакции

Вернуться к содержанию учебника

5.107 5.108 5.109 5.110 5.111 5.112 5.113

Вопрос

№5.110 учебника 2023-2026 (стр. 93):

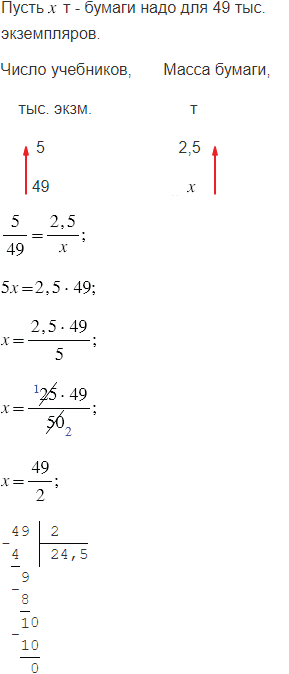
На изготовление 5 тыс. экземпляров учебника требуется 2,5 т бумаги. На сколько больше бумаги нужно для печати 49 тыс. экземпляров?

Подсказка

Ответ

№5.110 учебника 2023-2026 (стр. 93):


Вернуться к содержанию учебника