Вернуться к содержанию учебника
№6.125 учебника 2023-2026 (стр. 119):
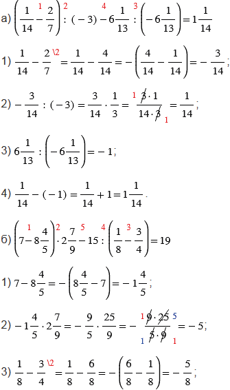
Выполните действия:

№6.125 учебника 2023-2026 (стр. 119):
Вспомните:
№6.125 учебника 2023-2026 (стр. 119):



Пояснения:
Действиями первой ступени называют сложение и вычитание чисел, а действиями второй ступени - умножение и деление чисел.
При вычислении значений выражений порядок выполнения действий определяют следующие правила:
1. Если выражение содержит только действия одной ступени и в нем нет скобок, то действия выполняют по порядку слева направо.
2. Если в выражении нет скобок, то сначала выполняют действия второй ступени, потом - действия первой ступени.
3. Если в выражении есть скобки, то сначала выполняют действия в скобках (учитывая правила 1 и 2).
Красные числа, стоящие сверху над действиями, показывают в каком порядке нужно выполнять действия.
Правила, по которым выполнены вычисления, смотрите в подсказке.
Вернуться к содержанию учебника