Вернуться к содержанию учебника
№4.39 учебника 2021-2022 (стр. 16):
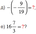
Какое число должно стоять вместо знака вопроса, чтобы получилось верное равенство:
а) -(-21) = ?;
б) 4,7 = -?;
в) -(-13,2) = ?;
г) 49 = -?;

№4.39 учебника 2021-2022 (стр. 16):
Вспомните, какие числа называют противоположными.
Вернуться к содержанию учебника