Задание 4.143 - ГДЗ Математика 6 класс. Виленкин, Жохов. Учебник часть 2. Страница 31

Старая и новая редакции

Вернуться к содержанию учебника

4.140 4.141 4.142 4.143 4.144 4.145 4.146

Вопрос

№4.143 учебника 2021-2022 (стр. 31):

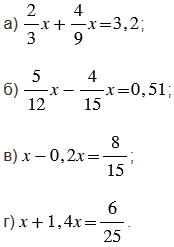
Решите уравнение:

Подсказка

№4.143 учебника 2021-2022 (стр. 31):

Вспомните:

  1. Что называют уравнением, его корни.
  2. Распределительное свойство умножения.
  3. Сложение и вычитание дробей с разными знаменателями.
  4. Приведение дробей к общему знаменателю.
  5. Основное свойство дроби (сокращение дробей).
  6. Сложение и вычитание дробей с разными знаменателями.
  7. Сложение и вычитание десятичных дробей.
  8. Десятичная запись дробных чисел.
  9. Умножение десятичных дробей.
  10. Деление обыкновенных дробей.
  11. Умножение обыкновенных дробей.

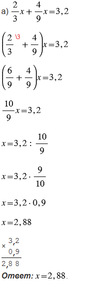
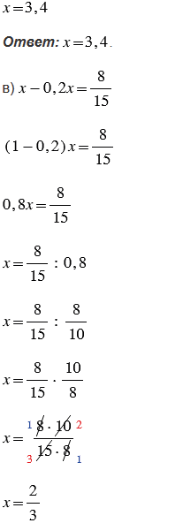
Ответ

№4.143 учебника 2021-2022 (стр. 31):


Вернуться к содержанию учебника