Задание 4.371 - ГДЗ Математика 6 класс. Виленкин, Жохов. Учебник часть 2. Страница 68

Старая и новая редакции

Вернуться к содержанию учебника

4.368 4.369 4.370 4.371 4.372 4.373 4.374

Вопрос

№4.371 учебника 2021-2022 (стр. 68):

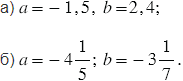
Проверьте переместительное свойство умножения 

Подсказка

№4.371 учебника 2021-2022 (стр. 68):

Ответ

№4.371 учебника 2021-2022 (стр. 68):


Вернуться к содержанию учебника