Задание 4.372 - ГДЗ Математика 6 класс. Виленкин, Жохов. Учебник часть 2. Страница 68

Старая и новая редакции

Вернуться к содержанию учебника

4.369 4.370 4.371 4.372 4.373 4.374 4.375

Вопрос

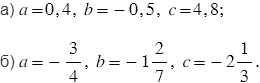
№4.372 учебника 2021-2022 (стр. 68):

Проверьте сочетательное свойство умножения 

Подсказка

№4.372 учебника 2021-2022 (стр. 68):

Вспомните:

  1. Сочетательное свойство умножения рациональных чисел.
  2. Умножение рациональных чисел.
  3. Модуль числа.
  4. Умножение десятичных дробей.
  5. Умножение обыкновенных дробей.
  6. Преобразование смешанных чисел.
  7. Неправильные дроби.
  8. Сокращение дробей.

Ответ

№4.372 учебника 2021-2022 (стр. 68):



Вернуться к содержанию учебника