Вернуться к содержанию учебника
№6.116 учебника 2021-2022 (стр. 116):
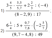
Вычислите:

№6.116 учебника 2021-2022 (стр. 116):
Вспомните:
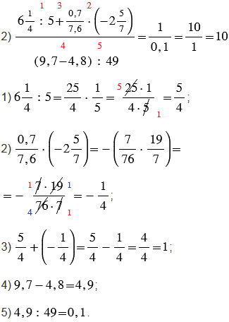
№6.116 учебника 2021-2022 (стр. 116):


Пояснения:
Частное двух чисел или выражений, в котором знак деления обозначен чертой, называют дробным выражением. Числитель дробного выражения - выражение, стоящее над чертой. Знаменатель дробного выражения - выражение, стоящее под чертой.
Чтобы найти значение дробного выражения, нужно отдельно выполнить вычисления в числителе, соблюдая порядок действий, отдельно выполнить вычисления в знаменателе, соблюдая порядок действий, а затем значение, полученное в числителе, разделить на значение, полученное в знаменателе.
При определении порядка действий в числителе и в знаменателе дробного выражения, помним:
1. если выражение содержит только действия одной ступени и в нем нет скобок, то действия выполняют по порядку слева направо;
2. если в выражении нет скобок, то сначала выполняют действия второй ступени, потом - действия первой ступени;
3. если в выражении есть скобки, то сначала выполняют действия в скобках (учитывая правила 1 и 2).
Красные числа, стоящие сверху над действиями, показывают в каком порядке нужно выполнять действия.
Правила, по которым выполнены вычисления, смотрите в подсказке.
Вернуться к содержанию учебника