Вернуться к содержанию учебника
№6.117 учебника 2021-2022 (стр. 116):
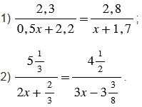
С помощью основного свойства пропорции решите уравнение:

№6.117 учебника 2021-2022 (стр. 116):
Вспомните:
№6.117 учебника 2021-2022 (стр. 116):



Пояснения:
Чтобы найти
, используем основное свойство пропорции: произведение крайних членов пропорции равно произведению ее средних членов. Затем в каждом уравнении раскрываем скобки. Чтобы раскрыть скобки, нужно множитель, стоящий за скобками, умножить на каждое слагаемое, стоящее в скобках (учитываем то, что вычитание можно заменить сложением с противоположным числом). Далее при решении полученных уравнений учитываем то, что если перенести слагаемое из одной части уравнения в другую с противоположным знаком, то полученное уравнение имеет те же корни, что и данное. После в левой части уравнений приводим подобные слагаемые, а в правой - выполняем вычисления. Слагаемые, имеющие одинаковую буквенную часть, называют подобными слагаемыми. Чтобы сложить подобные слагаемые, надо сложить их коэффициенты (числа, стоящие перед буквенной частью) и полученный результат умножить на общую буквенную часть. И затем находим неизвестный множитель. Чтобы найти неизвестный множитель, нужно произведение разделить на известный множитель.
Правила, по которым выполнены вычисления, смотрите в подсказке.
Вернуться к содержанию учебника