Вернуться к содержанию учебника
Выберите год учебника
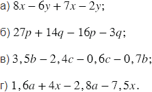
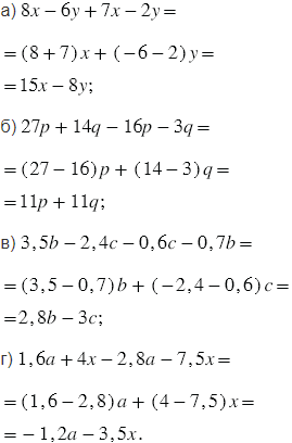
№116 учебника 2023-2026 (стр. 30):
Приведите подобные слагаемые:

№116 учебника 2013-2022 (стр. 27):
Докажите, что:
а) корнем уравнения 1,4(
+ 5)=7 + 1,4
является любое число;
б) уравнение
- 3 =
не имеет корней.
№116 учебника 2023-2026 (стр. 30):
Вспомните:
№116 учебника 2013-2022 (стр. 27):
Вспомните:
№116 учебника 2023-2026 (стр. 30):

Пояснения:
Подобными слагаемыми называют слагаемые алгебраической суммы, имеющие одинаковую буквенную часть.
Приведением подобных слагаемых называют замену алгебраической суммы подобных слагаемых одним выражением. При этом пользуются правилом:
чтобы привести подобные слагаемые, надо сложить их коэффициенты и результат умножить на общую буквенную часть.
№116 учебника 2013-2022 (стр. 27):



Вернуться к содержанию учебника