Вернуться к содержанию учебника
Выберите год учебника
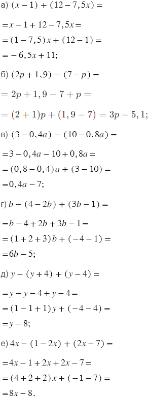
№122 учебника 2023-2026 (стр. 30):
Упростите выражение:

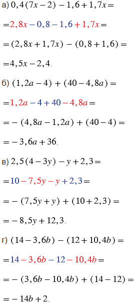
№122 учебника 2013-2022 (стр. 28):
Упростите выражение:
а) 0,4(7
- 2) - 1,6 + 1,7
;
б) (1,2
- 4) + (40 - 4,8
);
в) 2,5(4 - 3
) -
+ 2,3;
г) (14 - 3,6
) - (12 + 10,4
).
№122 учебника 2023-2026 (стр. 30):
Вспомните:
№122 учебника 2013-2022 (стр. 28):
Вспомните:
№122 учебника 2023-2026 (стр. 30):

Пояснения:
Раскрытие скобок выполняется по следующим правилам:
Подобными слагаемыми называют слагаемые алгебраической суммы, имеющие одинаковую буквенную часть.
Приведением подобных слагаемых называют замену алгебраической суммы подобных слагаемых одним выражением. При этом пользуются правилом:
чтобы привести подобные слагаемые, надо сложить их коэффициенты и результат умножить на общую буквенную часть.
№122 учебника 2013-2022 (стр. 28):

Пояснения:
Чтобы упростить выражения, в каждом из них сначала раскрываем скобки по следующим правилам:
После раскрытия скобок в каждом выражении приводим подобные слагаемые. Подобные слагаемые - это слагаемые, которые имеют одинаковую буквенную часть, т.е. подобные слагаемые могут отличаться только коэффициентами. Чтобы сложить (или привести) подобные слагаемые, надо сложить их коэффициенты и полученный результат умножить на общую буквенную часть (в выражениях подобные слагаемые выделены одинаковым цветом).
Вернуться к содержанию учебника