Вернуться к содержанию учебника
Выберите год учебника
№129 учебника 2023-2026 (стр. 31):
Отметьте на координатной прямой точки, соответствующие числам:
-3,9; 2,6; -0,7; 3,2; -1,5; 1,25.
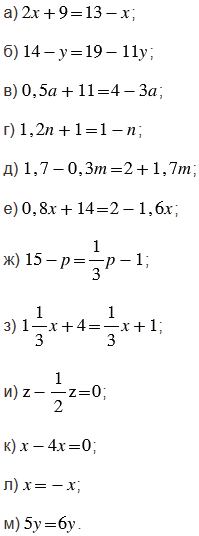
№129 учебника 2013-2022 (стр. 30):
Решите уравнение:

№129 учебника 2023-2026 (стр. 31):
Вспомните координаты точек, координатная прямая.
№129 учебника 2013-2022 (стр. 30):
Вспомните:
Вернуться к содержанию учебника