Вернуться к содержанию учебника
Выберите год учебника
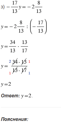
№146 учебника 2023-2026 (стр. 36):
Решите линейное уравнение:

№146 учебника 2013-2022 (стр. 33):
Протяженность автомобильной трассы составляет 6940 м. Большую часть трассы занимают два тоннеля, длина одного из которых на 17 м больше другого. Найдите длину каждого тоннеля, если наземная часть трассы составляет 703 м.
№146 учебника 2023-2026 (стр. 36):
Вспомните:
№146 учебника 2013-2022 (стр. 33):
Вспомните:
Вернуться к содержанию учебника