Вернуться к содержанию учебника
Выберите год учебника
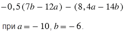
№185 учебника 2023-2026 (стр. 41):
Найдите значение выражения

№185 учебника 2013-2022 (стр. 42):
Книгу в 296 страниц ученик прочитал за три дня. Во второй день он прочитал на 20 % больше, чем в первый, а в третий — на 24 страницы больше, чем во второй. Сколько страниц прочитал ученик в первый день?
№185 учебника 2023-2026 (стр. 41):
Вспомните:
№185 учебника 2013-2022 (стр. 42):
Вспомните:
№185 учебника 2023-2026 (стр. 41):

Пояснения:
Чтобы найти значение буквенного выражения при заданных числовых значения переменных, входящих в это выражение, нужно сначала упростить выражение, а затем в упрощенное выражение вместо переменных подставить числа, им соответствующие, и выполнить вычисления.
При упрощении выражения сначала раскрываем скобки. При раскрытии первых скобок число -0,5 умножаем на каждый компонент из скобок, при раскрытии вторых скобок знаки слагаемых в скобках меняем на противоположные. Далее приводим подобные слагаемые (в решении выделены одинаковым цветом).
№185 учебника 2013-2022 (стр. 42):
Обозначим число страниц, прочитанных в первый день, через \(x\).
Во второй день он прочитал на 20 % больше: \(x + \frac{20}{100}x = 1{,}2x\).
В третий день он прочитал на 24 страницы больше, чем во второй: \(1{,}2x + 24\).
Сумма страниц за три дня равна 296:
\(x + 1{,}2x + \bigl(1{,}2x + 24\bigr) = 296\)
\(x + 1{,}2x + 1{,}2x + 24 = 296\)
\(3{,}4x + 24 = 296\)
\(3{,}4x = 296 - 24\)
\(3{,}4x = 272\)
\(x = \dfrac{272}{3{,}4}\)
\(x = 80\) (стр.) - прочитал ученик в первый день.
Ответ: в первый день ученик прочитал 80 страниц.
Вернуться к содержанию учебника