Вернуться к содержанию учебника
Выберите год учебника
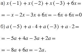
№224 учебника 2023-2026 (стр. 49):
Докажите, что:
а) выражение
тождественно равно нулю;
б) выражение
тождественно равно
.
№224 учебника 2013-2022 (стр. 51):
Вычислите:
а) (1,25 • 1,7 • 0,8 - 1,7) • 3,45;
б) 3,947 : (3,6 - 2,6 • 4 • 0,25).
№224 учебника 2023-2026 (стр. 49):
Вспомните:
№224 учебника 2013-2022 (стр. 51):
Вспомните:
№224 учебника 2023-2026 (стр. 49):

№224 учебника 2013-2022 (стр. 51):
а) (1,25 • 1,7 • 0,8 - 1,7) • 3,45 =
= 1,7 • (1,25 • 0,8 - 1) • 3,45 =
= 1,7 • (1 - 1) • 3,45 = 1,7 • 0 • 3,45 = 0
б) 3,947 : (3,6 - 2,6 • 4 • 0,25) =
= 3,947 : (3,6 - 2,6 • 1) = 3,947 : (3,6 - 2,6) =
= 3,947 : 1 = 3,947.
Пояснения:
В каждом выражении, чтобы вычисления были проще, используем свойства умножения.
Вернуться к содержанию учебника