Вернуться к содержанию учебника
№298 учебника 2023-2026 (стр. 72):
№298 учебника 2013-2022 (стр. 72):
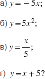
Является ли прямой пропорциональностью функция, заданная формулой:

№298 учебника 2023-2026 (стр. 72):
№298 учебника 2013-2022 (стр. 72):
Вспомните прямую пропорциональность.
Вернуться к содержанию учебника