Упражнение 296 - ГДЗ Алгебра 7 класс. Макарычев, Миндюк. Учебник

Старая и новая редакции

Вернуться к содержанию учебника

293 294 295 296 297 298 299

Вопрос

№296 учебника 2023-2025 (стр. 68):

№296 учебника 2013-2022 (стр. 69):

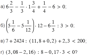
Верно ли, что:

Подсказка

№296 учебника 2023-2025 (стр. 68):

№296 учебника 2013-2022 (стр. 69):

Ответ

№296 учебника 2023-2025 (стр. 68):

№296 учебника 2013-2022 (стр. 69):


Вернуться к содержанию учебника