Упражнение 310 - ГДЗ Алгебра 7 класс. Макарычев, Миндюк. Учебник. Страница 74

Старая и новая редакции

Вернуться к содержанию учебника

307 308 309 310 311 312 313

Вопрос

№310 учебника 2023-2026 (стр. 74):

№310 учебника 2013-2022 (стр. 74):

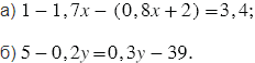
Решите уравнение:

Подсказка

Ответ

№310 учебника 2023-2026 (стр. 74):

№310 учебника 2013-2022 (стр. 74):


Вернуться к содержанию учебника