Вернуться к содержанию учебника
Выберите год учебника
№470 учебника 2023-2026 (стр. 111):
Является ли одночленом выражение:

№470 учебника 2013-2022 (стр. 111):
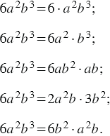
Представьте несколькими способами одночлен
в виде произведения двух одночленов стандартного вида.
№470 учебника 2023-2026 (стр. 111):
Вспомните, какие выражения называются одночленами.
№470 учебника 2013-2022 (стр. 111):
№470 учебника 2023-2026 (стр. 111):
а) Является.
б) Является.
в) Является.
г) Не является.
д) Является.
е) Является.
ж) Не является.
з) Не является.
и) Является.
к) Является.
л) Является.
м) Является.
Пояснения:
Одночлены - это выражения, представляющие собой произведение чисел, переменных и их степеней. Одночленами также считают числа, переменные и их степени.
№470 учебника 2013-2022 (стр. 111):

Пояснения:
Одночлены - это выражения, представляющие собой произведение чисел, переменных и их степеней. Одночленами также считают числа, переменные и их степени. Если одночлен представлен в виде произведения числового множителя, который стоит на первом месте, и степеней с различными основаниями, то его называют одночленом стандартного вида.
Вернуться к содержанию учебника